Enter the values of the DC motor parameter. Note: Default values are already given.
Click on 'Transfer Function' button to get the transfer function form of the system.
Click on 'Pulse Transfer Function' button to get the pulse transfer function form of the system.
Click on 'State Space Model' button to get the state space form of the system.
Click on 'Discrete State Space Model' button to get the discrete state space form of the system.
Click on ' Input values' button to change the input values to the system.
Enter the desired input values.
Click on the 'Response' button to get the plot.
Click on 'Download' button to download the plot.
Click on 'Clear' button to enter the new values of quantities.
Enter the values of the following quantities:
Motor torque constant : Km= Armature Inductance : L= Armature Resistance : R= Moment of inertia : J= Coefficient of Friction : Kf= Back emf constant : Kb= Sampling Time (sec) : Ts=
Continuous Transfer Function of the DC Motor
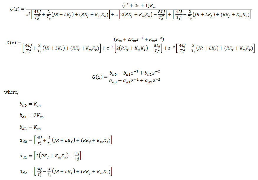
Pulse Transfer Function of the DC Motor
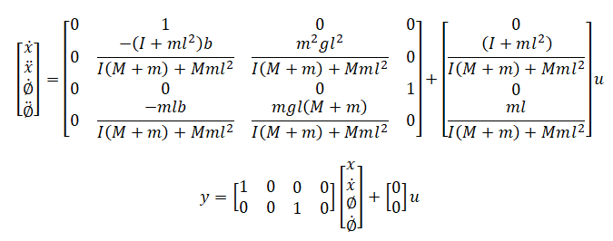
Continuous State Space Model of the DC Motor
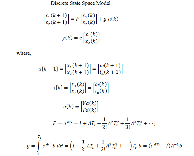
Discrete State Space Model of the DC Motor
Enter input values:
Armature Voltage : Va = Change in inputs: Change in Armature Voltage : Va change= Starting sample for change in Va: TVa Start= Ending sample for change in Va: TVa End= Torque : Td= Starting sample for disturbance: Td Start= Ending sample for disturbance : Td End=