Determine Frequency Response of Zero Order Hold and First Order Hold using Actual Transfer Functions and Pade Approximations 
Q1. What is the transfer function of Zero Order Hold?
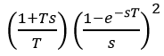
Q2. What is the transfer function of First Order Hold?
Q3. What is the first-order Pade approximation of the time delay
, where
is the time delay and
is the complex frequency variable?
, where
is the time delay and
is the complex frequency variable?
Q4. Calculate the first-order Padé approximation of the time delay
, given
seconds and
rad/s.
, given
seconds and
rad/s.
Q5. ____ is the conversion of a sequence to a continuous time function.